Bonjour , j'ai un souci avec ce exercice
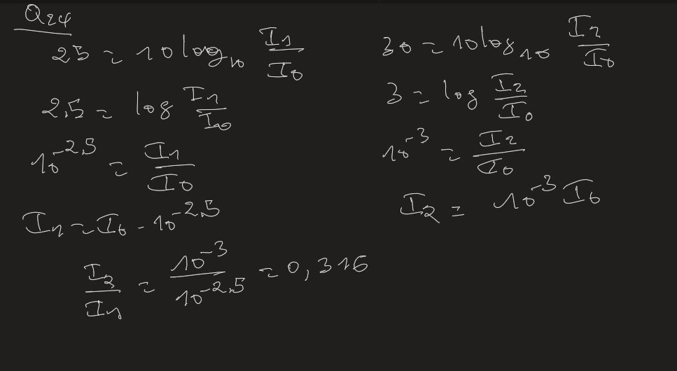
Deux sons (S1,S2) ont chacun une intensité absolue de I1 = 25 dB et I2 =30 dB. Le rapport entre les
deux intensités est : racine de 10
Voici ce que je fait
Cependant la bonne réponse est racine de 10 , je ne sais pas pourquoi? Merci pour votre aide
-----


